Por Raúl Juárez
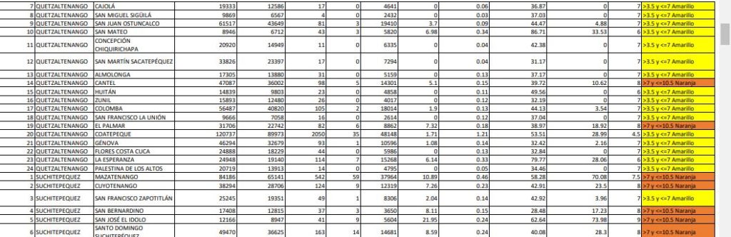
El Ministerio de Salud Pública y Asistencia Social -MSPAS- actualizó el Tablero de Alertas Sanitarias COVID-19; para los próximos 14 días se establece 2 municipios en alerta roja, 120 en naranja, 217 en amarilla y 1 en verde.
Este Sistema de Alertas Sanitarias es un instrumento que permite medir cada quince días la incidencia de la enfermedad y define el nivel de riesgo por localidad clasificado en colores: rojo, anaranjado, amarillo y verde.
Quetzaltenango estuvo las últimas dos semanas en alerta verde, debido a los bajos contagios, sin embargo en los últimos días se ha tenido un aumento de positividad de casos en la cabecera departamental por lo que la alerta cambió a amarillo y la próxima semana podría llegar a naranja,
En el departamento de Quetzaltenango, de los 24 municipios tres están en alerta naranja, el caso de Salcajá, Cantel y el Palmar, mientras el resto está en amarillo.
Las autoridades en los últimos días han aumentado el aviso para que la población se siga cuidando y evitar así que los niveles de covid-19 aumenten a nivel nacional.













